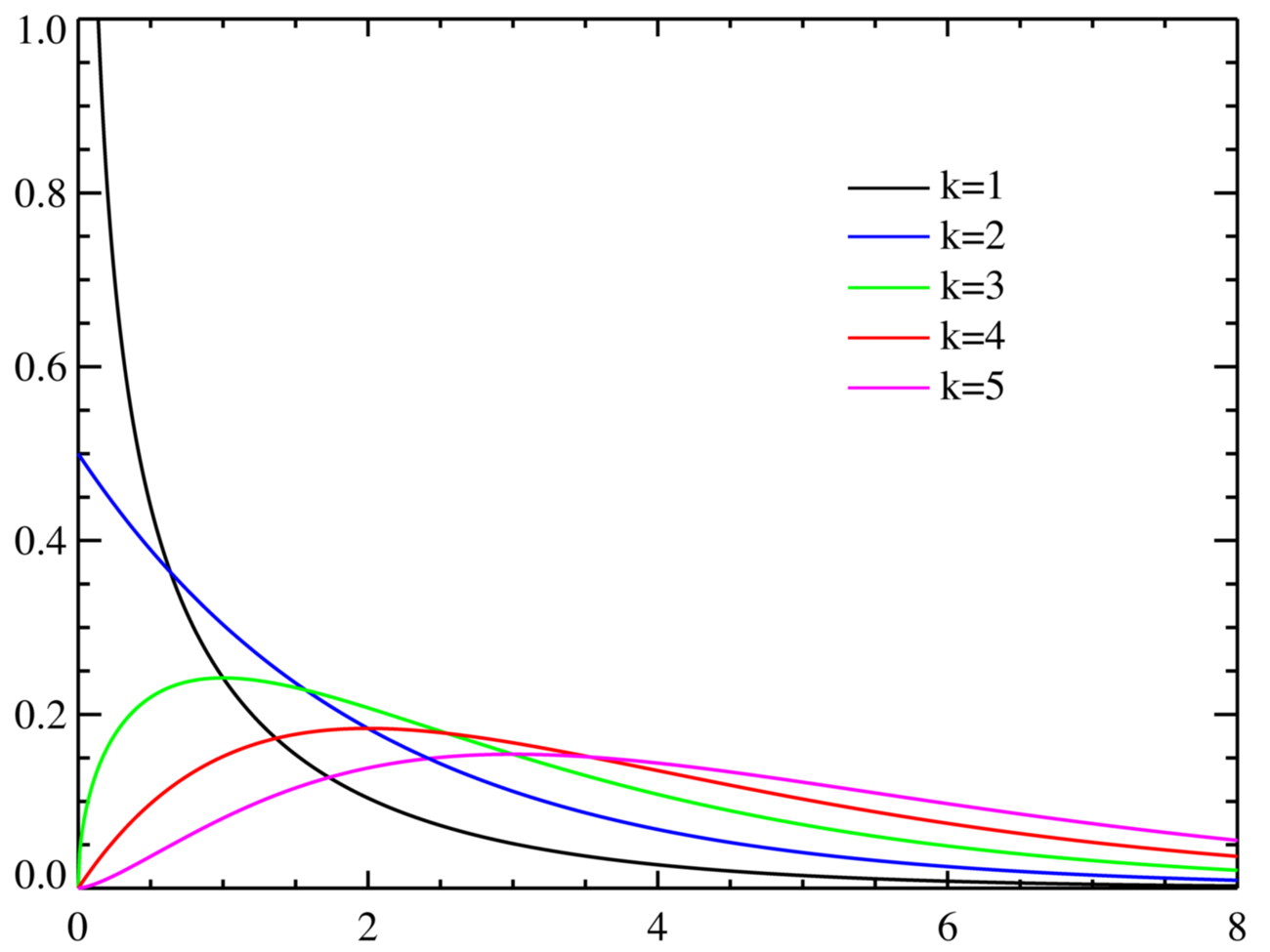
定义 X1,X2,X3,⋯,Xn相互独立且服从标准正态分布N(0,1),且X=X12+X22+X32+⋯+Xn2,那么则称X服从自由度为n的卡方分布,记为X∼χ2(n). χ2分布的密度函数 若X∼χ2(n)则 f(y)={22nΓ(2n)1y2n−1e−2y0,y>0,y≤0 其中: Γ(2n)=∫0+∞x2n−1e−xdx f(y)图像: